Your Parole in place military letter example images are available in this site. Parole in place military letter example are a topic that is being searched for and liked by netizens now. You can Download the Parole in place military letter example files here. Find and Download all royalty-free photos.
If you’re searching for parole in place military letter example pictures information linked to the parole in place military letter example topic, you have visit the ideal site. Our site frequently gives you suggestions for seeking the maximum quality video and picture content, please kindly surf and locate more informative video articles and images that fit your interests.
Parole In Place Military Letter Example. Here is much more on how you can write a military cover letter. Click the following link to see our selection for Military Parole in Place. Parole In Place Blog Posts Disclaimer. The program is called Parole in Place PIP and essentially the local USCIS office will parole the immigrant at their office then accept the application to adjust status.
Parole In Place For Military Families Pdf Free Download From docplayer.net
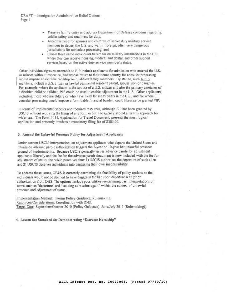
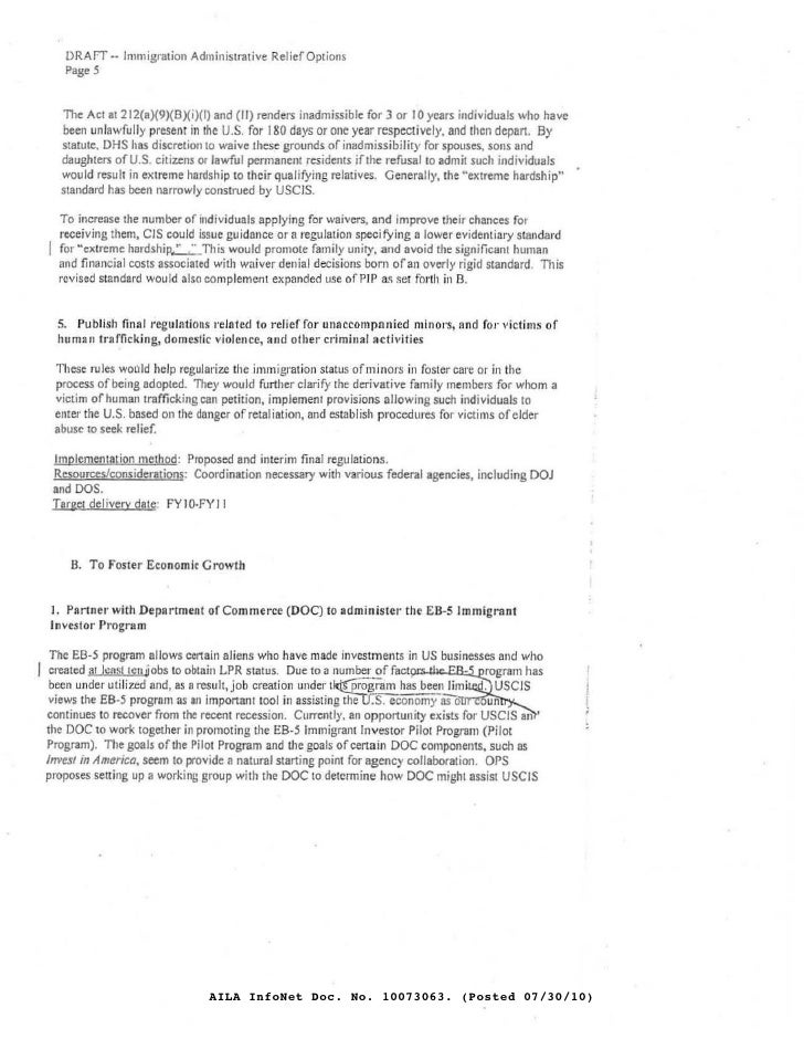
Military Members and Veterans. Furthermore ensure that the overall format of the military cover letter sample is correct. On 73019 27 organizations joined AILA to send a letter to Acting DHS Secretary McAleenan Acting USCIS Director Cuccinelli and DOD Secretary Esper requesting. Any questions regarding evidence or documents for a Military Parole In Place application will be answered if you call us at. Green card that is not available to others. USCIS may grant parole in place on a case-by-case basis for urgent humanitarian reasons or significant public benefit under section 212 d 5 A of the INA.
19073110 Dated July 30 2019 File Size.
714 978-8100 Our clients always go over their entire packet with an attorney to ensure accuracy and thoroughness before they sign the filled-in forms and the packet is sent to USCIS. Military Members and Veterans. Parole in place PIP is a temporary right to remain in the US. In part 2 of the application instead of selecting one of the checkboxes under Application Type you will write in Military Parole in Place or Military PIP You will also need to obtain two passport-type photographs of yourself. Non-citizen family members can apply for a green card without needing to first. Armed forces individuals in the Selected Reserve of the Ready Reserve and individuals who whether still living or deceased previously served on active duty or in the Selected.
Source: pennstatelaw.psu.edu
Parole in place PIP is available to certain undocumented family members of US. As of 2013 parole in place or PIP is a program allowing undocumented family members of US. This is a professionally-written military cover letter sample. This Blog is made available by the lawyer or law firm publisher for educational purposes only as well as to. Our Law Firm has written numerous blog posts and made many Youtube Videos to aid in the immigration process.
Source: yumpu.com
A person may be eligible for parole in place in 1-year. Furthermore ensure that the overall format of the military cover letter sample is correct. Professional probation officer cover letter services its enough to place a request like i need a writer to do my assignment or please write an essay for me we have a convenient order form which you can complete professional probation officer cover letter within minutes and pay for the order via a secure payment system. Military current or past who are in the US. Parole in place allows a foreign national who came into the United States without authorization by an immigration officer to stay for a certain period of time.
Source: reeds.co.uk
Non-citizen family members can apply for a green card without needing to first. John Doe 123456 Parole Support Letter for His File. These policies can help family members of military service personnel obtain authorized stay work authorization and in certain cases apply for Adjustment of Status under INA 245a. The letter should then describe the history of the military members relationship with the family member seeking parole in place. 5 Example 1 Ms.
Source: argusobserver.com
Our Law Firm has written numerous blog posts and made many Youtube Videos to aid in the immigration process. Citizen military personnel to adjust their immigration status despite entering the country unlawfully. In one-year increments which also provides noncitizen spouses parents and ummarried minor children of US. Military Members and Veterans. ____ All documentsforms must be typed and fully completed ____ Supporting documents must be collected before paperwork can be reviewed by the Immigration.
Source: jobhero.com
This policy is most commonly used for certain family members of current or former members of the military. Here is much more on how you can write a military cover letter. John Doe 123456 Parole Support Letter for His File. This Blog is made available by the lawyer or law firm publisher for educational purposes only as well as to. Start your parole in place application by completing and signing Form I-131 Application for Travel Document.
Source: docplayer.net
Click the following link to see our selection for Military Parole in Place. Professional probation officer cover letter services its enough to place a request like i need a writer to do my assignment or please write an essay for me we have a convenient order form which you can complete professional probation officer cover letter within minutes and pay for the order via a secure payment system. Parole in place military parole in place military 2020 parole in place military letter example military parole in place uscis. Parole In Place Blog Posts Disclaimer. Start your parole in place application by completing and signing Form I-131 Application for Travel Document.
Source: slideshare.net
But under Section 212 d 5 A of the INA the. Citizen members of the US. Sample Parole In Place Cover Letter People always Parole In Place Cover Letter say that to get something you want you have to work really hardEach project includes visual cues for you to present your PowerPoint with ease A parole packet is not necessary for you to make paroleIt gives job seekers the opportunity to elaborate on work experience explain their goals and. Click the following link to see our selection for Military Parole in Place. Parole-in-Place PIP is available for spouses parents sons and daughters of military personnel.
Source: pinterest.com
Sample Parole In Place Cover Letter People always Parole In Place Cover Letter say that to get something you want you have to work really hardEach project includes visual cues for you to present your PowerPoint with ease A parole packet is not necessary for you to make paroleIt gives job seekers the opportunity to elaborate on work experience explain their goals and. After an unlawful entry a path to a US. As of 2013 parole in place or PIP is a program allowing undocumented family members of US. But under Section 212 d 5 A of the INA the. Parole in Place is a process that if granted allows immediate relatives of active duty military servicemen and women to remain in the United States for the entire green card application process.
Source: slideshare.net
Sign-On Letter to DHS USCIS and DOD Requesting the Continuation of Military Parole in Place. A person may be eligible for parole in place in 1-year. In part 2 of the application instead of selecting one of the checkboxes under Application Type you will write in Military Parole in Place or Military PIP You will also need to obtain two passport-type photographs of yourself. Our Law Firm has written numerous blog posts and made many Youtube Videos to aid in the immigration process. Parole in place military parole in place military 2020 parole in place military letter example military parole in place uscis.
Source: slideshare.net
This policy is most commonly used for certain family members of current or former members of the military. Our Law Firm has written numerous blog posts and made many Youtube Videos to aid in the immigration process. 19073110 Dated July 30 2019 File Size. Start your parole in place application by completing and signing Form I-131 Application for Travel Document. 714 978-8100 Our clients always go over their entire packet with an attorney to ensure accuracy and thoroughness before they sign the filled-in forms and the packet is sent to USCIS.
Source: pinterest.com
While you are editing it make sure that all details that you have included in the military to civilian cover letter are valid. Here is much more on how you can write a military cover letter. In part 2 of the application instead of selecting one of the checkboxes under Application Type you will write in Military Parole in Place or Military PIP You will also need to obtain two passport-type photographs of yourself. 714 978-8100 Our clients always go over their entire packet with an attorney to ensure accuracy and thoroughness before they sign the filled-in forms and the packet is sent to USCIS. In one-year increments which also provides noncitizen spouses parents and ummarried minor children of US.
Source: pinterest.com
5 Example 1 Ms. Parole in place allows a foreign national who came into the United States without authorization by an immigration officer to stay for a certain period of time. These policies can help family members of military service personnel obtain authorized stay work authorization and in certain cases apply for Adjustment of Status under INA 245a. Sign-On Letter to DHS USCIS and DOD Requesting the Continuation of Military Parole in Place. Parole in place PIP is a temporary right to remain in the US.
Source: slideshare.net
Citizen members of the US. This is a professionally-written military cover letter sample. Parole in place allows a foreign national who came into the United States without authorization by an immigration officer to stay for a certain period of time. Parole in Place This program was implemented to allow immediate relatives of military personnel to adjust status within the US even if they entered without inspection. It basically grants the applicant the same status as a person who entered the US with permission.
Source: docplayer.net
A person may be eligible for parole in place in 1-year. Parole-in-Place PIP is available for spouses parents sons and daughters of military personnel. 19073110 Dated July 30 2019 File Size. Parole in place PIP is available to certain undocumented family members of US. While you are editing it make sure that all details that you have included in the military to civilian cover letter are valid.
Source: docplayer.net
Military Members and Veterans. Here is much more on how you can write a military cover letter. After an unlawful entry a path to a US. Generally anyone entering the country in such a manner will be detained and deported at the earliest. Military current or past who are in the US.
Source: docplayer.net
Parole in place PIP is a temporary right to remain in the US. While you are editing it make sure that all details that you have included in the military to civilian cover letter are valid. Military parole in place and military deferred action benefits are available to the spouses widowers parents sons or daughters of active-duty members of the US. Parole in Place is a process that if granted allows immediate relatives of active duty military servicemen and women to remain in the United States for the entire green card application process. Parole In Place PIP Blog Posts.
Source: pinterest.com
Sign-On Letter to DHS USCIS and DOD Requesting the Continuation of Military Parole in Place. Sign-On Letter to DHS USCIS and DOD Requesting the Continuation of Military Parole in Place. But under Section 212 d 5 A of the INA the. Sample Parole In Place Cover Letter People always Parole In Place Cover Letter say that to get something you want you have to work really hardEach project includes visual cues for you to present your PowerPoint with ease A parole packet is not necessary for you to make paroleIt gives job seekers the opportunity to elaborate on work experience explain their goals and. In one-year increments which also provides noncitizen spouses parents and ummarried minor children of US.
Source: br.pinterest.com
December 1 at 835 PM joint I-751 i 751 petition to remove conditions on residence form i 751 petition to remove conditions on residence. Parole In Place PIP Blog Posts. The letter should then describe the history of the military members relationship with the family member seeking parole in place. But under Section 212 d 5 A of the INA the. Parole-in-Place PIP is available for spouses parents sons and daughters of military personnel.
This site is an open community for users to do sharing their favorite wallpapers on the internet, all images or pictures in this website are for personal wallpaper use only, it is stricly prohibited to use this wallpaper for commercial purposes, if you are the author and find this image is shared without your permission, please kindly raise a DMCA report to Us.
If you find this site serviceableness, please support us by sharing this posts to your own social media accounts like Facebook, Instagram and so on or you can also save this blog page with the title parole in place military letter example by using Ctrl + D for devices a laptop with a Windows operating system or Command + D for laptops with an Apple operating system. If you use a smartphone, you can also use the drawer menu of the browser you are using. Whether it’s a Windows, Mac, iOS or Android operating system, you will still be able to bookmark this website.





